решите номер 1. пример 4. номер 3. пример 3.и номер 4 пример 4 и 3. дам все баллы свои
Приложения:

Ответы
Ответ дал:
1
Пошаговое объяснение:
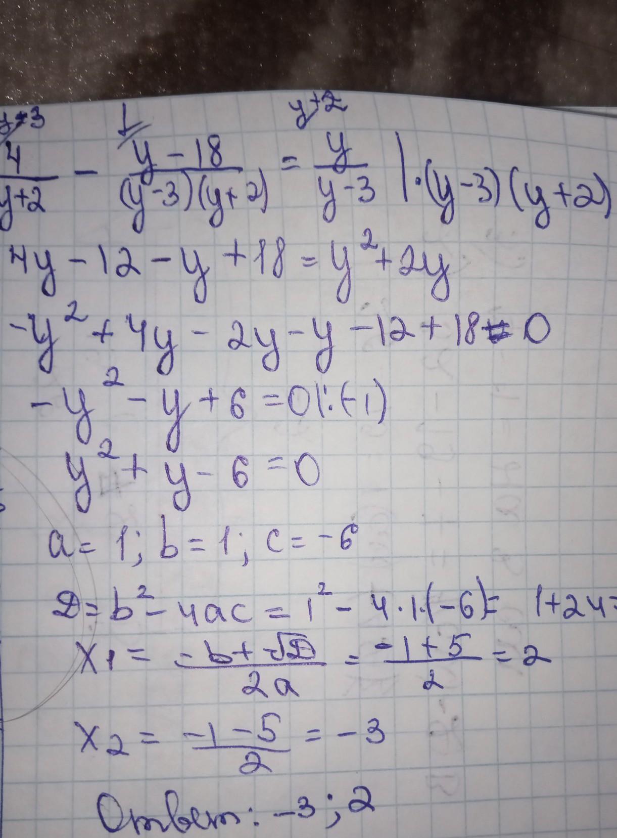
номер 4 пример 3 и 4
сейчас решу остальные
Приложения:


Аноним:
реши 3 пример в номере 3 пожалуйста
Вас заинтересует
1 год назад
1 год назад
1 год назад
3 года назад
3 года назад
8 лет назад