• Предмет: Математика
  • Автор: Foks02
  • Вопрос задан 2 года назад

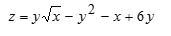
Найти частные производные первого порядка z'(x) и z'(y)

Приложения:

Ответы

Ответ дал: IrkaShevko
1

Ответ:

Пошаговое объяснение:

z_x' = \dfrac{y}{2\sqrt{x} } -1\\\\z_y'=\sqrt{x} -2y+6

Вас заинтересует