• Предмет: Математика
  • Автор: Foks02
  • Вопрос задан 2 года назад

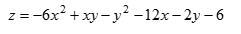
Найти критические точки функции. Найти экстремумы функции

Приложения:

Ответы

Ответ дал: HSS9860
1

Ответ:

(-26/23;-36/23) - точка максимума

Пошаговое объяснение:

см. вложение.

Приложения:
Вас заинтересует