• Предмет: Химия
  • Автор: protsenkoalyona
  • Вопрос задан 2 года назад

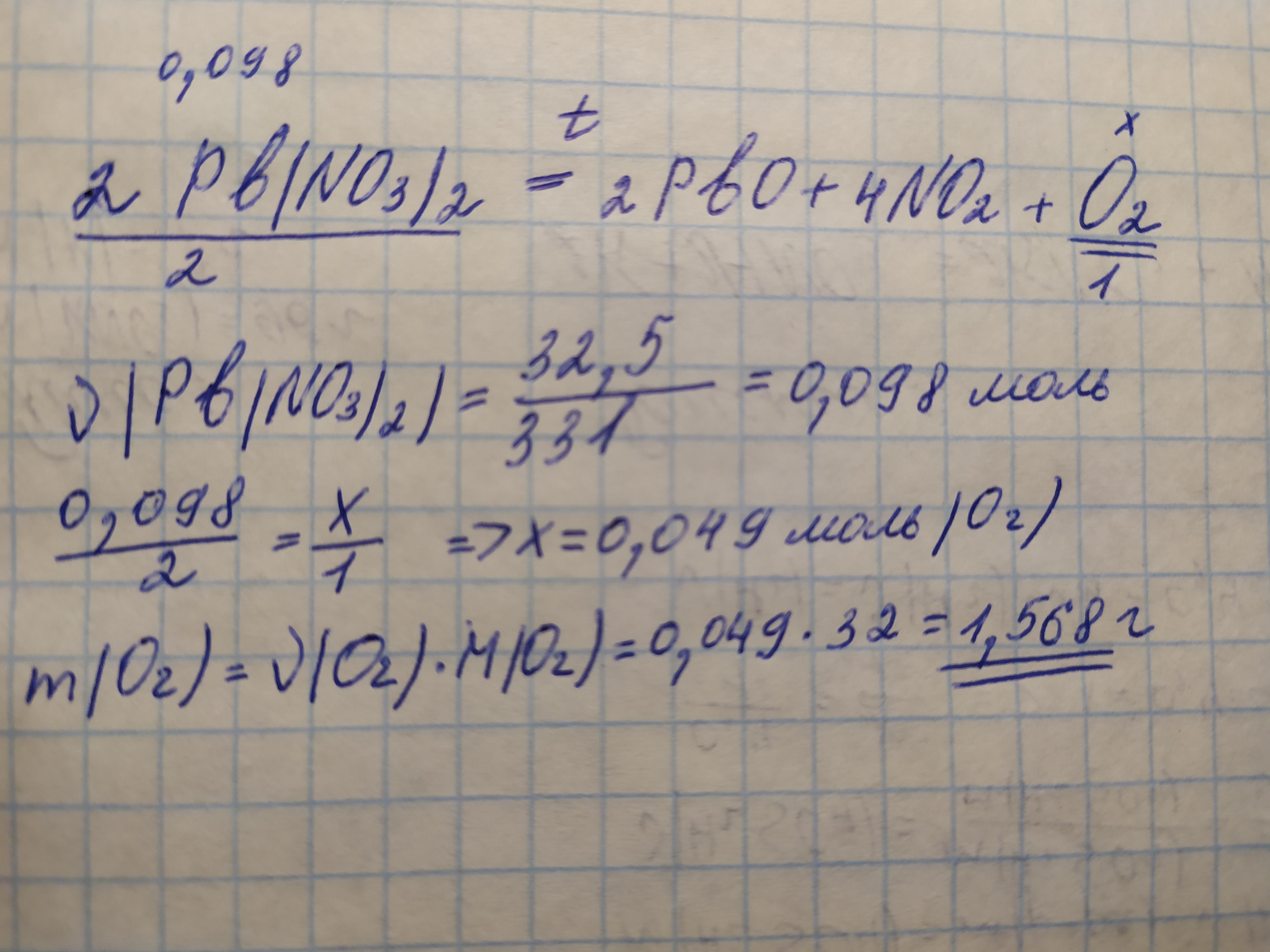
Определите массу кислорода который образуется при полном термическом разложении 32.5 нитрата ртути 2

Ответы

Ответ дал: holmskaja
2

Во вложении:

_____________

Приложения:

Аноним: А можешь мне помочь пожалуйста, с этим же предметом?
jev89380: умоляю помогите мне https://znanija.com/task/34083177
Аноним: ты подождёшь, я раньше тебя написал!
Вас заинтересует