• Предмет: Алгебра
  • Автор: lolkaw
  • Вопрос задан 2 года назад

решите пожалуйста 3 скрина

Приложения:

Ответы

Ответ дал: Ilovelineage
0

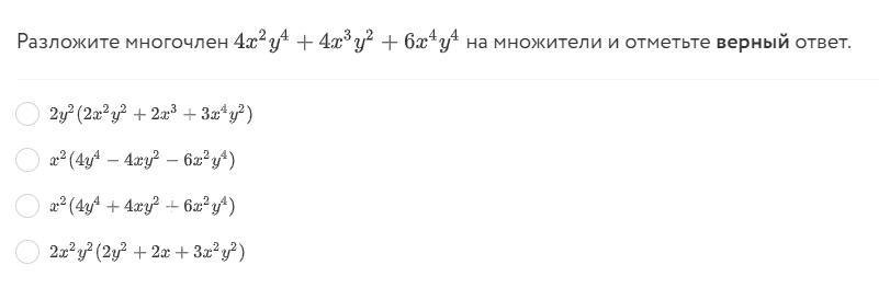
Ответ:1 задание - 4 ответ,

2 задание - 2 ответ,

3 задание - 4 ответ, значение -30,08

Объяснение:

Вас заинтересует