ОТДАМ ВСЕ БАЛЛЫ!! ПОМОГИТЕ
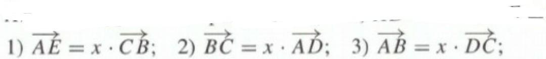
Найдите число х (если такое число существует) если
ABCD - равнобедренная трапеция AD || BC, AD= 2BC
AE=ED и: (фото)
Приложения:

Ответы
Ответ дал:
0
Ответ: во вложении Объяснение:
Приложения:

Вас заинтересует
1 год назад
1 год назад
3 года назад
3 года назад
8 лет назад