• Предмет: Геометрия
  • Автор: kjjjhgfdddd
  • Вопрос задан 2 года назад

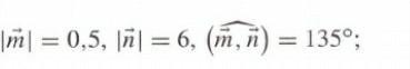
Посчитайте вектор m*n при...

Приложения:

Ответы

Ответ дал: solomiyatim
1

Скалярное произведение векторов равно произведению их модулей на косинус угла между ними.

m×n=0.5×6×(-√2/2)=-3√2/2

Ответ: -3√2/2.

Если будут вопросы – обращайтесь :)

Ответ дал: Аноним
1

cos135°=- сos 45 °= -√2/2

Cкалярное произведение двух ненулевых векторов равно произведению модулей этих векторов на косинус угла между ними.

т.е. 0.5*6*(-√2/2)=-1.5√2

Вас заинтересует