Ответы
Ответ дал:
0
Ответ:
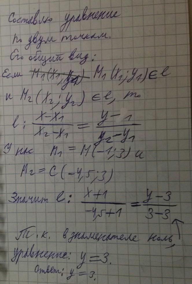
Смотри решение в фотографиях. И тут походу ограничение на количество фотографий, если надо, напиши в личные сообщения, там может пришлю оставшиеся.
Приложения:





Вас заинтересует
1 год назад
1 год назад
1 год назад
3 года назад
3 года назад
8 лет назад