• Предмет: Алгебра
  • Автор: Аноним
  • Вопрос задан 2 года назад

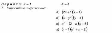
помогите решить даю 20баллов​

Приложения:

Ответы

Ответ дал: Vijaf89
1

Ответ:

Объяснение:

1. 2х^2 - х - 1

2. -у^3 +4у^2 + 3у -12

3. -3а + 10

4. n^3 - 3n +2

Вас заинтересует