• Предмет: Алгебра
  • Автор: novikovaluba
  • Вопрос задан 2 года назад

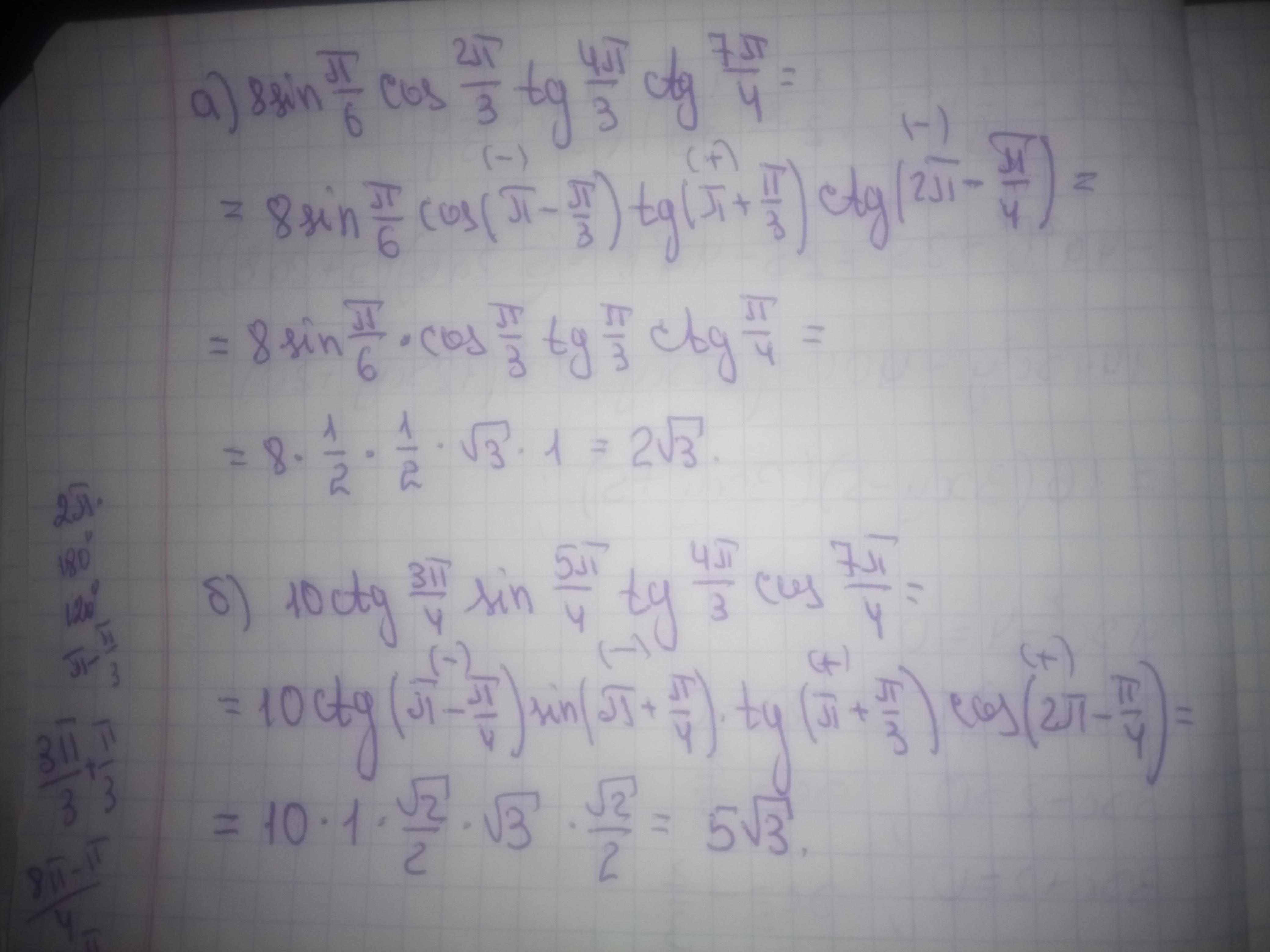
помогите пожалуйста Вычислите:

Приложения:

Ответы

Ответ дал: Аноним
1

а) 8 sin π/6*cos 2π/3*tg 4π/3*ctg 7π/4=

8*(1/2)*(-sin π/6)*tg π/3 *(-ctg π/4)=4*(-1/2)*√3*(-1)=2√3

б)

10 сtg 3π/4*sin 5π/4*tg 4π/3*cos 7π/4=

10*(-ctg π/4)*(-sin π/4)*tg π/3*cos π/4=

10*(-1)*(-√2/2)*√3*√2/2=10*(1/2)*√3=5√3.

Ответ дал: Аноним
0

Решение задания приложено

Приложения:
Вас заинтересует