• Предмет: Алгебра
  • Автор: hokage21
  • Вопрос задан 2 года назад


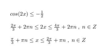
 cos(2x)   \leqslant  -  \frac{1}{2 }
помогите​

Ответы

Ответ дал: NNNLLL54
1

..................................................................................

Приложения:
Вас заинтересует