• Предмет: Математика
  • Автор: pilya897
  • Вопрос задан 2 года назад

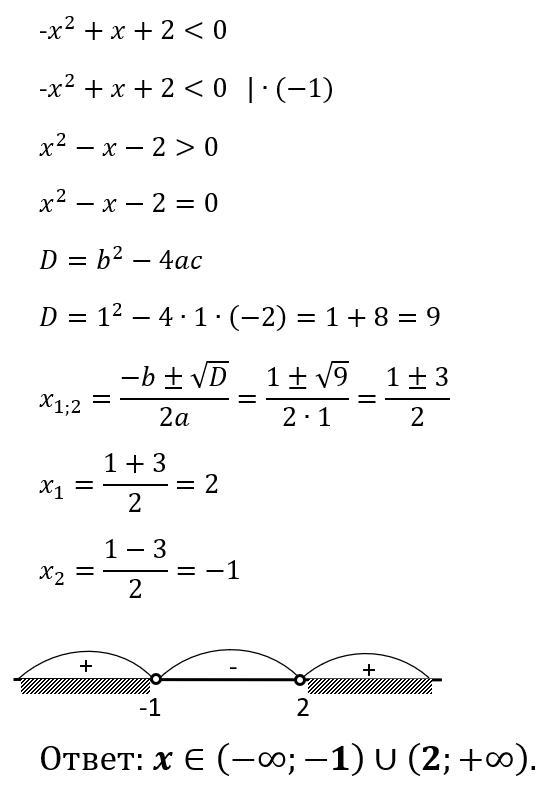
-x^2+x+2 менше 0 помогите пожалуйста​

Ответы

Ответ дал: papagenius
1

Ответ:

Пошаговое объяснение:

Приложения:
Вас заинтересует