• Предмет: Геометрия
  • Автор: 129826077
  • Вопрос задан 2 года назад

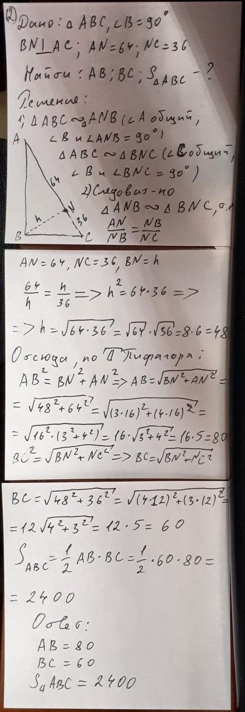
1. В треугольнике DCE М – середина СЕ, N – середина DЕ. Найдите MN, если CD = 23 см. 2. В прямоугольном треугольнике из вершины прямого угла, проведена высота, которая делит гипотенузу на отрезки, один из которых 36 см, а другой 64 см. Найдите стороны данного треугольника, высоту и площадь. 3. В прямоугольном треугольнике MNK катеты MN = 3 см, NK = 4 см. Найдите синус, косинус и тангенс угла М. 4. На расстоянии 8 м от фонаря стоит человек, ростом 1,5 м. Длина тени человека 1 м. Найдите высоту фонаря.

Ответы

Ответ дал: Vopoxov
3

Ответ:

1) 11,5

2) 60; 80 и 2400

3) sin(M) = 4/5; cos(M)=3/5; tg(M)= 4/3

4) 13,5 м

Объяснение:

См. во вложеных файлах

Приложения:
Вас заинтересует