Ответы
Ответ дал:
0
Ответ:
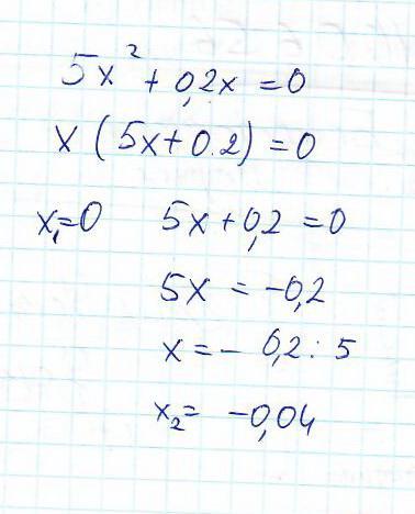
5x²+0.2x=0
x(5x+0.2)=0
x₁=0, 5x+0.2=0
5x=-0.2
x=-0.2/5
x₂=-0.04
Объяснение:
Приложения:

Вас заинтересует
1 год назад
1 год назад
1 год назад
1 год назад
8 лет назад