• Предмет: Алгебра
  • Автор: sofiialeonlps
  • Вопрос задан 2 года назад

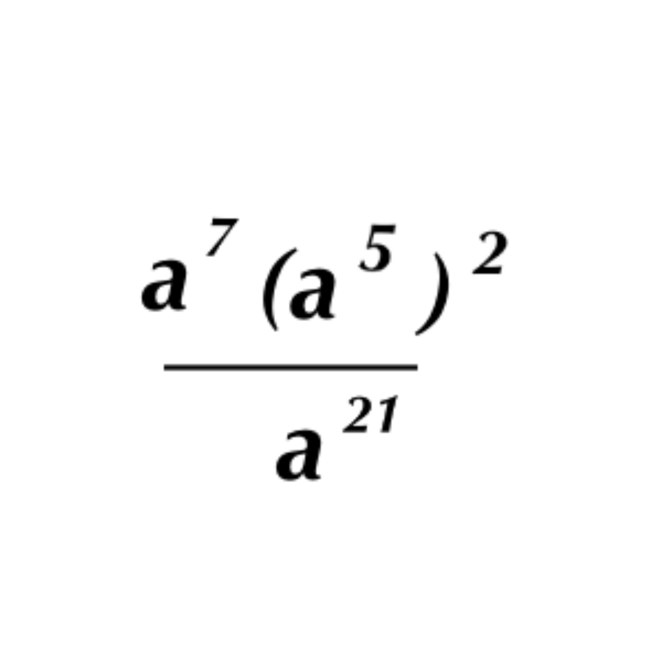
Представьте в виде степени выражение:
(Из четырёх ответов нужно выбрать один)

Приложения:

Ответы

Ответ дал: Amigo3
1

Ответ: а^7*а^10/а^21=а^-4

Ответ а^-4, такого ответа нет

Объяснение:

Вас заинтересует