• Предмет: Математика
  • Автор: nataliasdr
  • Вопрос задан 2 года назад

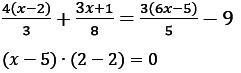
Задание 1
Решите уравнения:

Приложения:

Ответы

Ответ дал: IrkaShevko
4

Ответ:

Пошаговое объяснение:

1) умножим все на 120:

40 * 4(x - 2) + 15(3x + 1) = 24*3(6x-5) - 9*120

160x - 320 + 45x + 15 = 432x - 360 - 1080

432x - 45x - 160x = 1080 + 360 - 320 + 15

227x = 1135

x = 1135 : 227

x = 5

2) произведение 0, только если один из множителей 0

(x - 5) * 0 = 0

0 = 0

верно для любого х

x ∈ R


Matvey123321234: спасибо, умница
Аноним: а можно только письмено на листочке
Вас заинтересует