• Предмет: Химия
  • Автор: volynskayaar
  • Вопрос задан 2 года назад

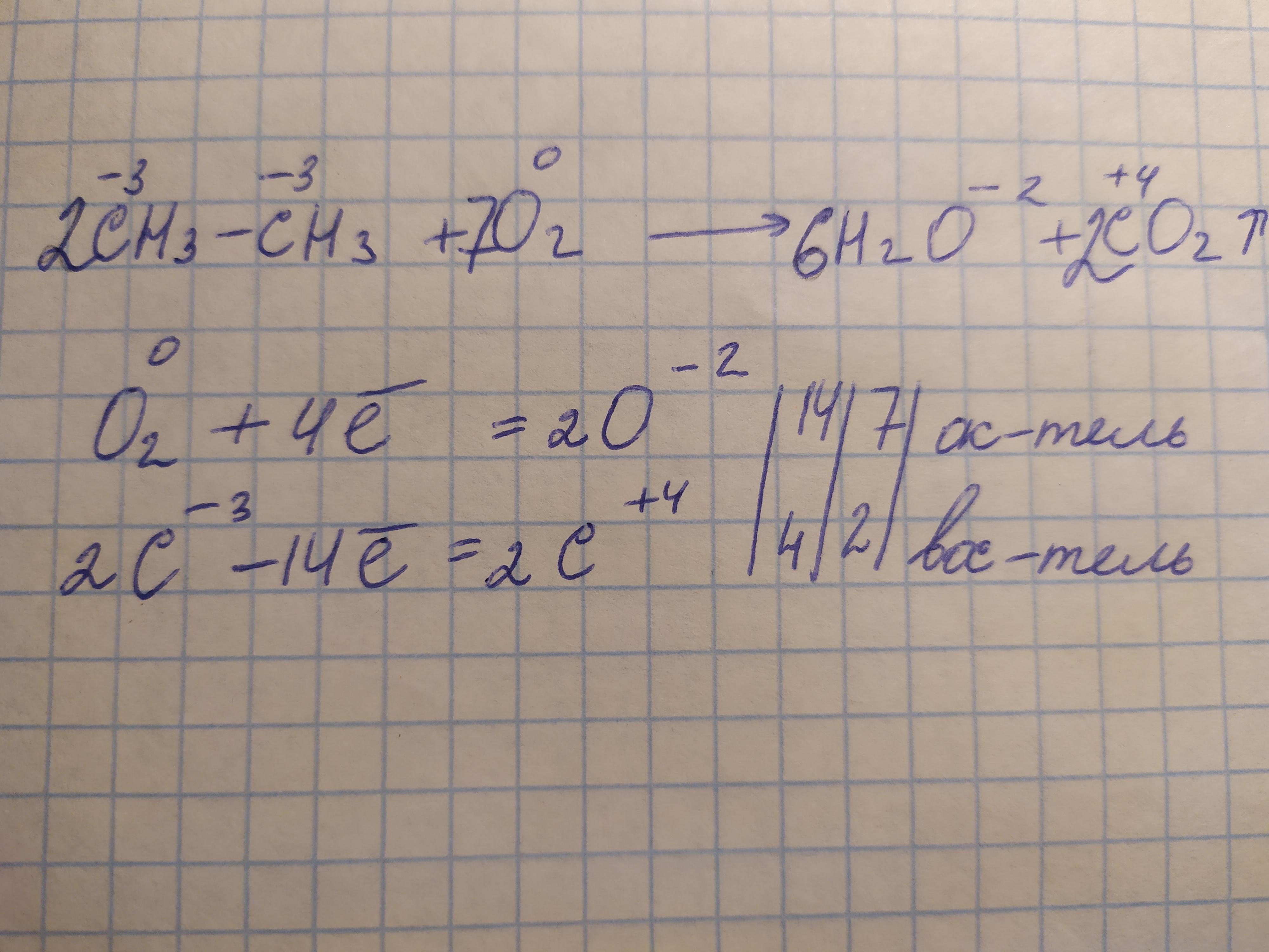
Помогите уровнять пожалуйста: C2H6+O2➡️H2O+CO2

Ответы

Ответ дал: lonnesy
1

Ответ:

2C2H6 + 7O2 = 4CO2 + 6H2O


volynskayaar: Кислород не совпадает
volynskayaar: А всё...
Ответ дал: holmskaja
0

Во вложении:

_________________

Приложения:
Вас заинтересует