• Предмет: Алгебра
  • Автор: AlanaBerikova220606
  • Вопрос задан 2 года назад

ДАЮ 30 БАЛЛОВ! НЕ КЛИКБЕЙТ!!! ПОМОГИТЕ ПОЖАЛУЙСТА!!​

Приложения:

Ответы

Ответ дал: symbatamzebek40
1

Ответ:

.................................

Приложения:
Ответ дал: sebrithien
1

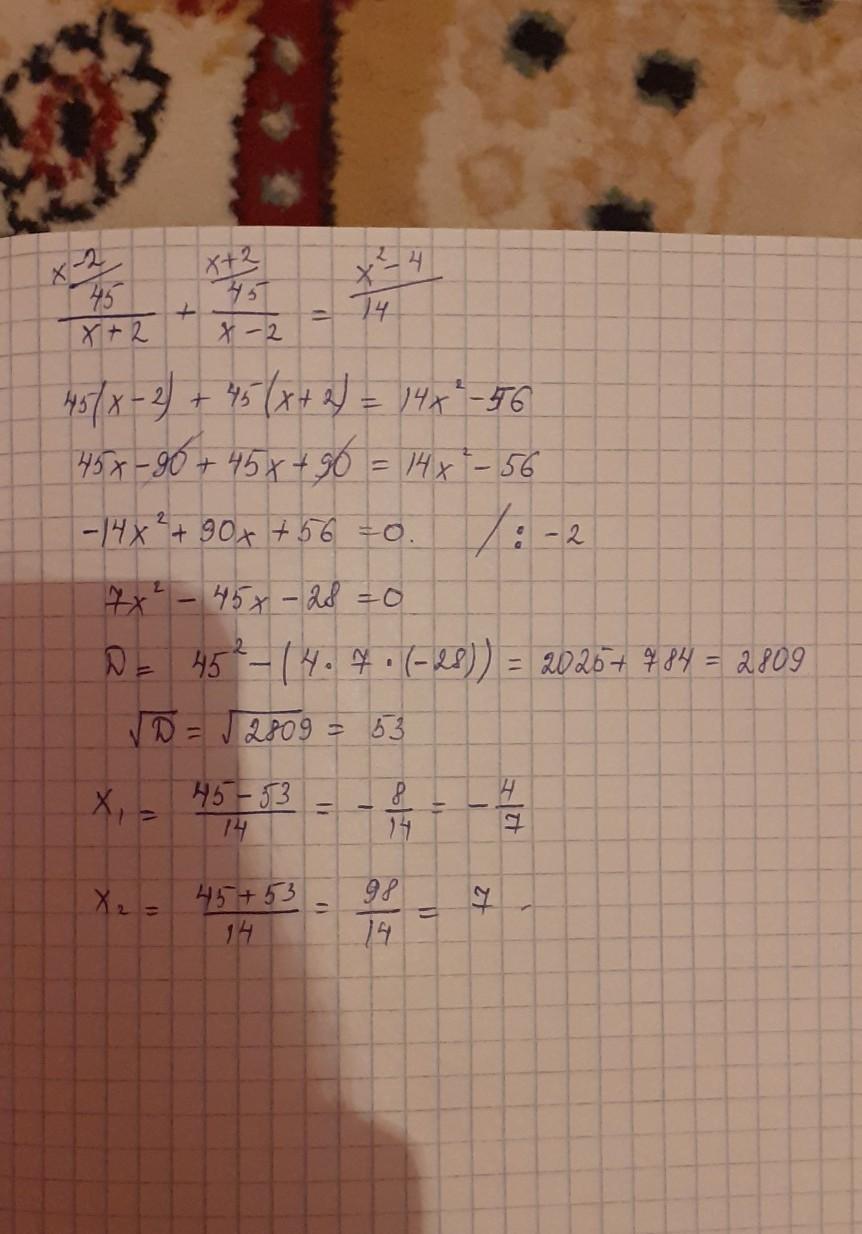
 \frac{45}{x + 2}  +  \frac{45}{x - 2}  - 14 = 0 \\  \frac{45(x - 2) + 45(x + 2) - 14(x + 2)(x - 2)}{(x  + 2)(x - 2)}  = 0 \\ \frac{45x - 90 + 45x + 90 - 14( {x}^{2} - 2x + 2x - 4) }{(x + 2)(x - 2)}  = 0  \\ x + 2≠ 0 \\ x≠ - 2 \\ x - 2≠0 \\ x≠2 \\  \\ 90x - 14 {x}^{2}   + 28x - 28x + 56 = 0 \\  - 14 {x}^{2}  + 90x + 56 = 0 \\ 7 {x}^{2}  - 45x - 28 = 0 \\ D =  { ( - 45)}^{2}  - 4 \times 7 \times ( - 28) = 2025  + 784 = 2809 \\  \sqrt{D}  =  \sqrt{2809}  = 53 \\ x1 =  \frac{45 + 53}{14}  =  \frac{98}{14}  = 7 \\ x2 =  \frac{45 - 53}{14}  =  \frac{ - 8}{14}  =  -  \frac{4}{7}


Аноним: Можете помочь с Историей пожалуйста
sebrithien: В истории я не силён)
AlanaBerikova220606: я тоже как то не оч...
Вас заинтересует