• Предмет: Геометрия
  • Автор: egorchictic81
  • Вопрос задан 2 года назад

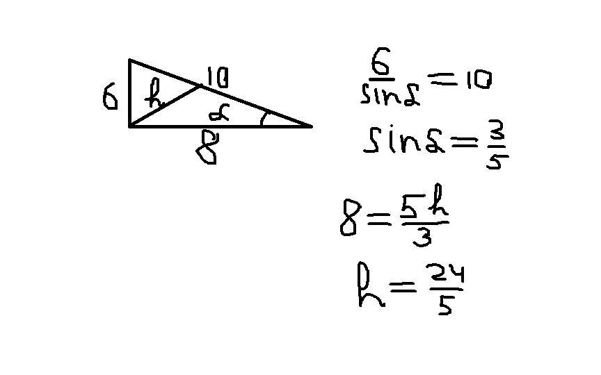
Катеты прямоугольного треугольника равны 8 см и 6 см. Найдите высоту, опущенную из вершины прямого угла.

Ответы

Ответ дал: sunnatxoja77
2

решение смотри на фото:

по теореме синусов

Приложения:
Вас заинтересует