• Предмет: Математика
  • Автор: kinsan11
  • Вопрос задан 2 года назад

Зарание спасибо.Спасибо за помощь.

Приложения:

Ответы

Ответ дал: StrelockA
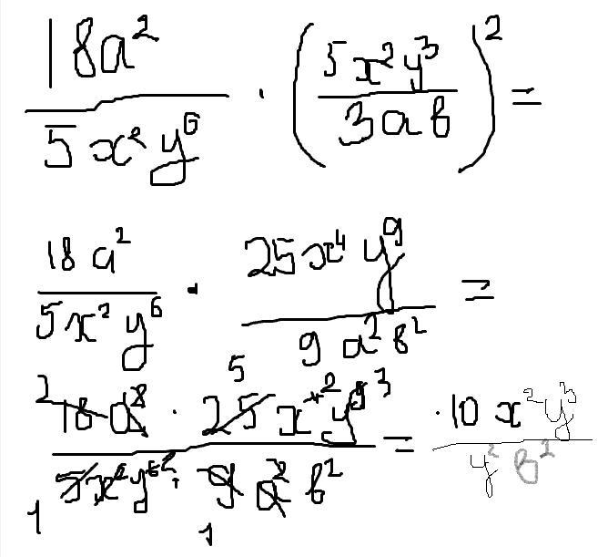
1

Ответ:

Пошаговое объяснение:

Приложения:

StrelockA: Вроде так.
Вас заинтересует