Ответы
Ответ дал:
1
Ответ:
Пошаговое объяснение:
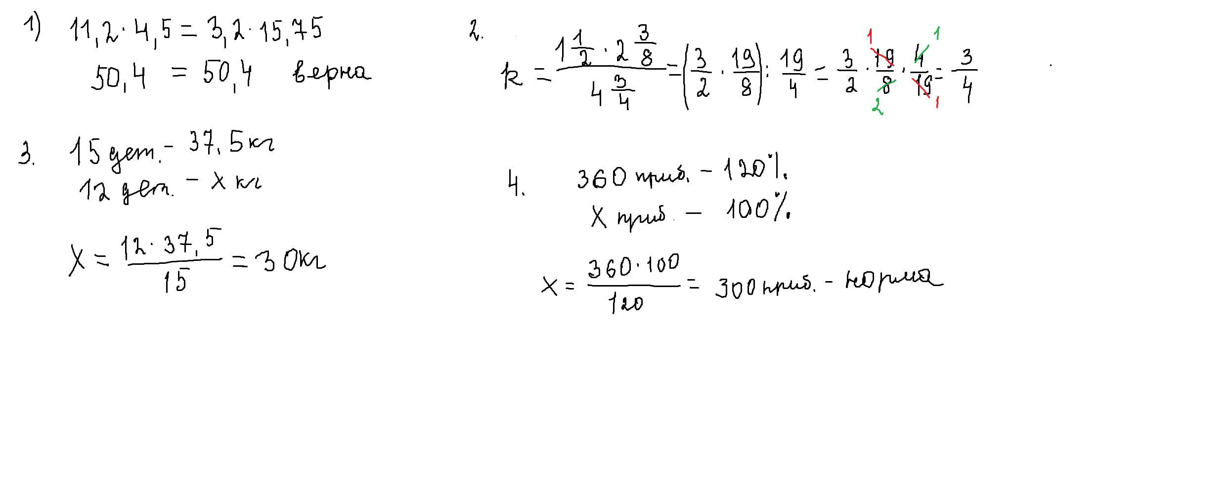
1)в верной пропорции произведение крайних членов равно произведению средних членов.равенство получилось верное,значит пропорция верна.
2) k=3\4
3) 30 кг масса 12 деталей
4)месячная норма 300 деталей
Приложения:

Вас заинтересует
1 год назад
1 год назад
1 год назад
1 год назад
3 года назад
3 года назад
8 лет назад