Из трех одинаковых квадратов сложили прямоугольник.Чему равен периметр прямоугольника,если периметр одного квадрата равен 96 см?
Ответы
Ответ дал:
2
Ответ:
Пошаговое объяснение:
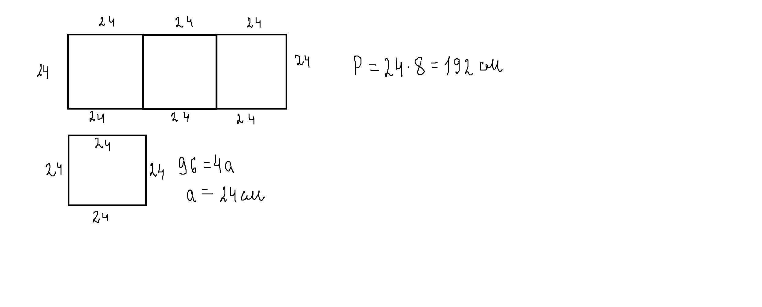
96:4=24 см сторона квадрата
24*8=192 см периметр прямоугольника
смотри рисунок внизу. стороны квадратов,которые соприкасаются друг с другом в периметр прямоугольника не входят.
Приложения:

Вас заинтересует
1 год назад
1 год назад
1 год назад
3 года назад
8 лет назад