• Предмет: Математика
  • Автор: Dmitriy114
  • Вопрос задан 2 года назад

30 балов
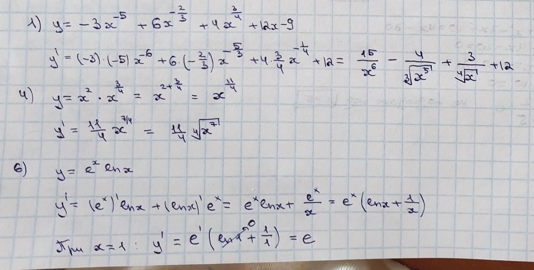
Найдите производные функциии

любое что можете​

Приложения:

Ответы

Ответ дал: Miroslava227
0

Ответ:

решение на фотографиях

Приложения:
Вас заинтересует