• Предмет: Математика
  • Автор: gfhddtukjvcd
  • Вопрос задан 2 года назад

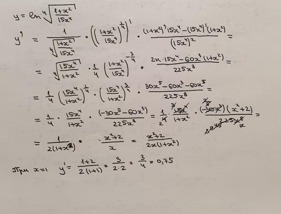
найти производную, если можео что б все расписано

Приложения:

Ответы

Ответ дал: Miroslava227
1

Ответ:

решение на фотографии

Приложения:
Вас заинтересует