• Предмет: Математика
  • Автор: umknown
  • Вопрос задан 2 года назад

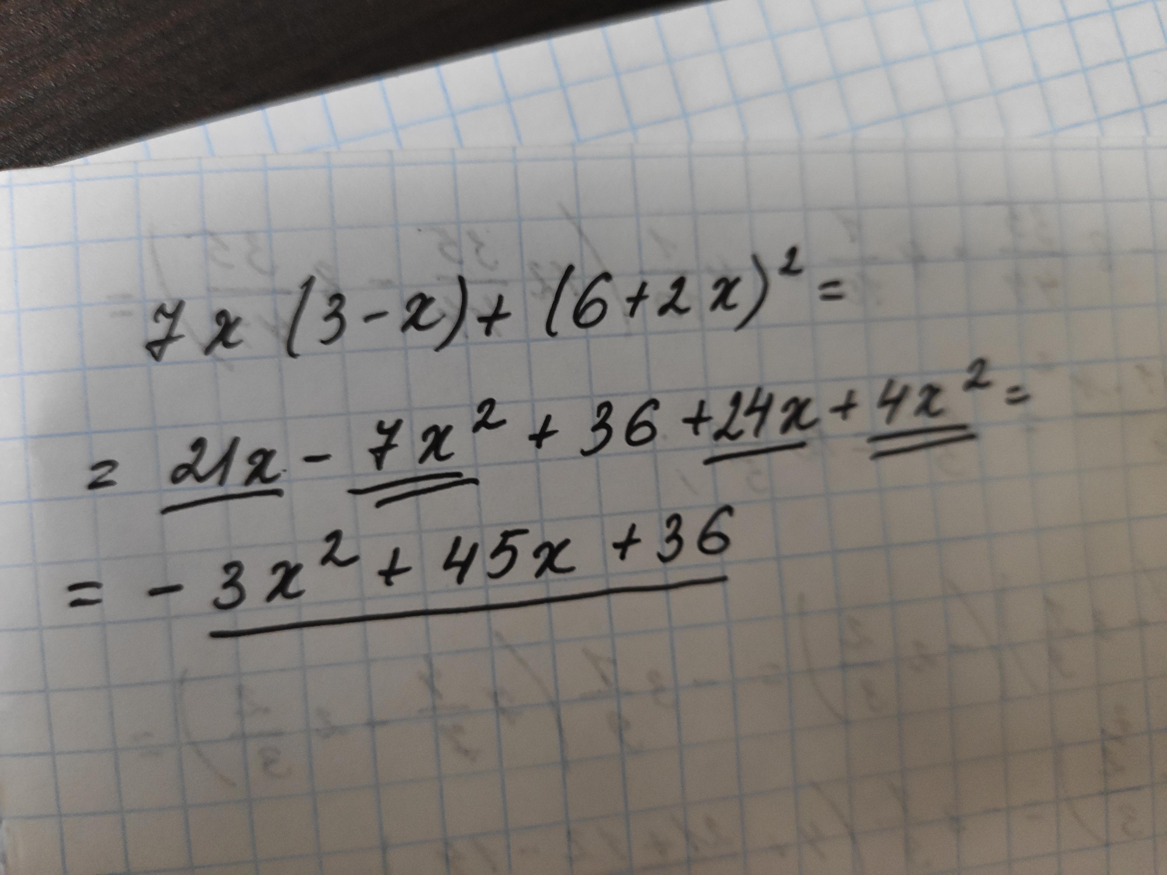
Преобразуйте в многачлен стандартного вида 7х(3-х)+(6+2х)’2

Ответы

Ответ дал: stas0107
1

Ответ:на фото

Пошаговое объяснение:

Приложения:
Вас заинтересует