• Предмет: Математика
  • Автор: Камила1211
  • Вопрос задан 2 года назад

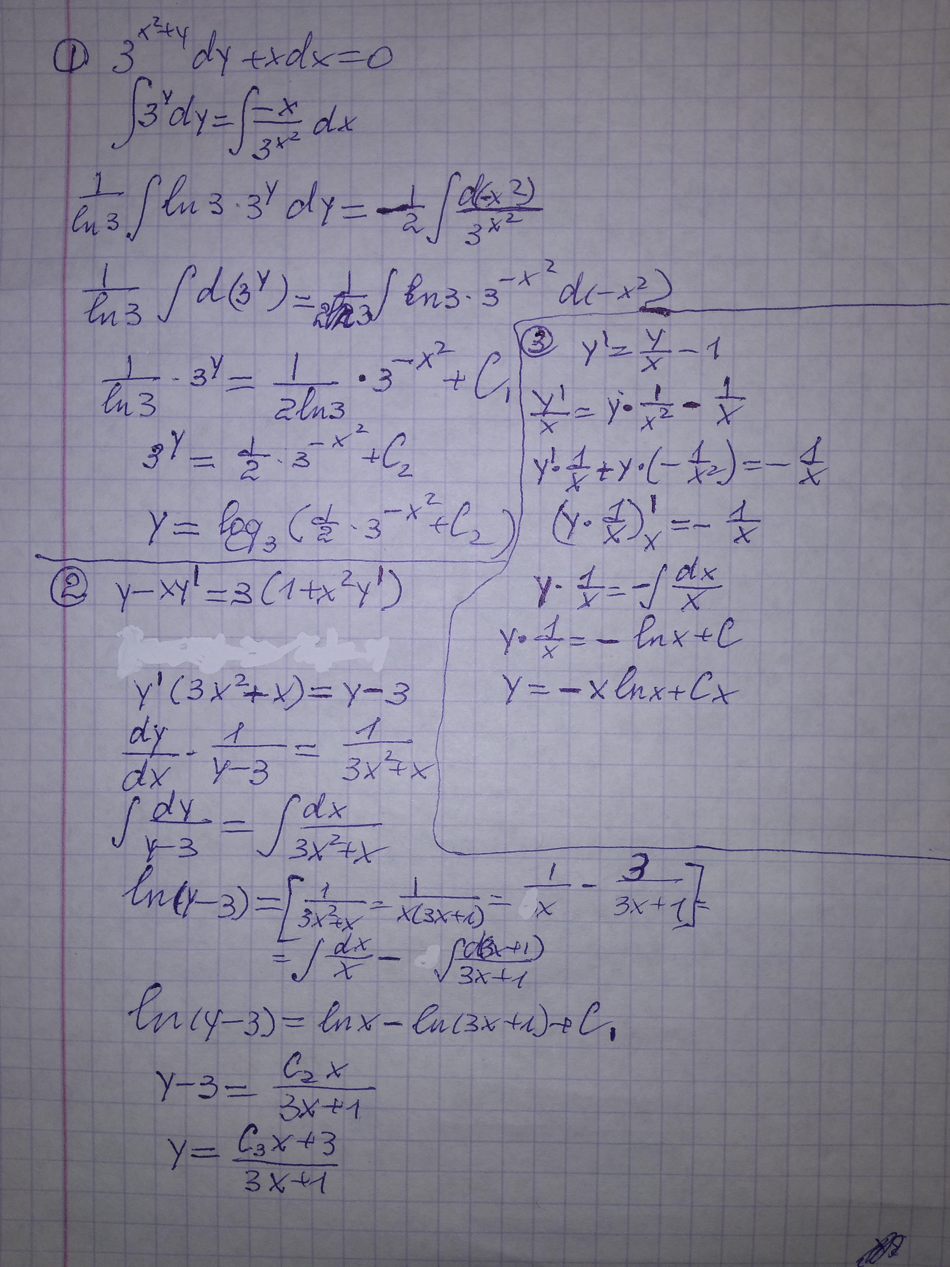
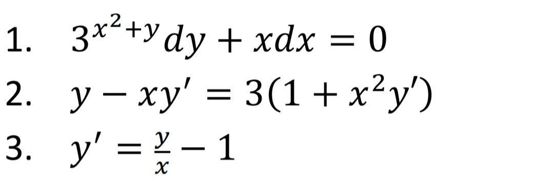
Дифференциальные уравнения

Приложения:

Ответы

Ответ дал: igorShap
1

Ответ:

Пошаговое объяснение: в приложении

Приложения:
Вас заинтересует