• Предмет: Геометрия
  • Автор: Sane4ka1111
  • Вопрос задан 2 года назад

Помогите решить срочно все геометрия

Приложения:

Ответы

Ответ дал: ersinkenzhebek2006
0

Ответ:

7) угл2=36градус

180-36=144

угл1=144градус

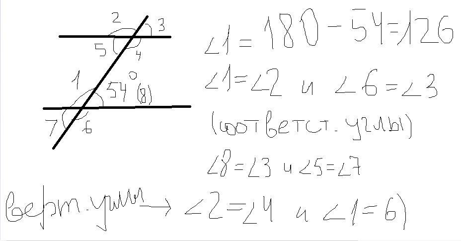
8)угл1=54

угл3=54

угл2=26

угл4=26

9)

CO=OD

AOC=DOB

Ответ дал: p875524
0

Ответ:

а)

1) 2=в пять раз больше 1 угла, то есть 5х

2) 1=х

5х + х= 180

6х=180

х=30 - 1 угол

2 угол - 30*5= 150

б) на рис

в) Треугольники AOC = BOD, по 2 признаку равенства треугольников

Приложения:
Вас заинтересует