• Предмет: Алгебра
  • Автор: sultanovatamila685
  • Вопрос задан 2 года назад


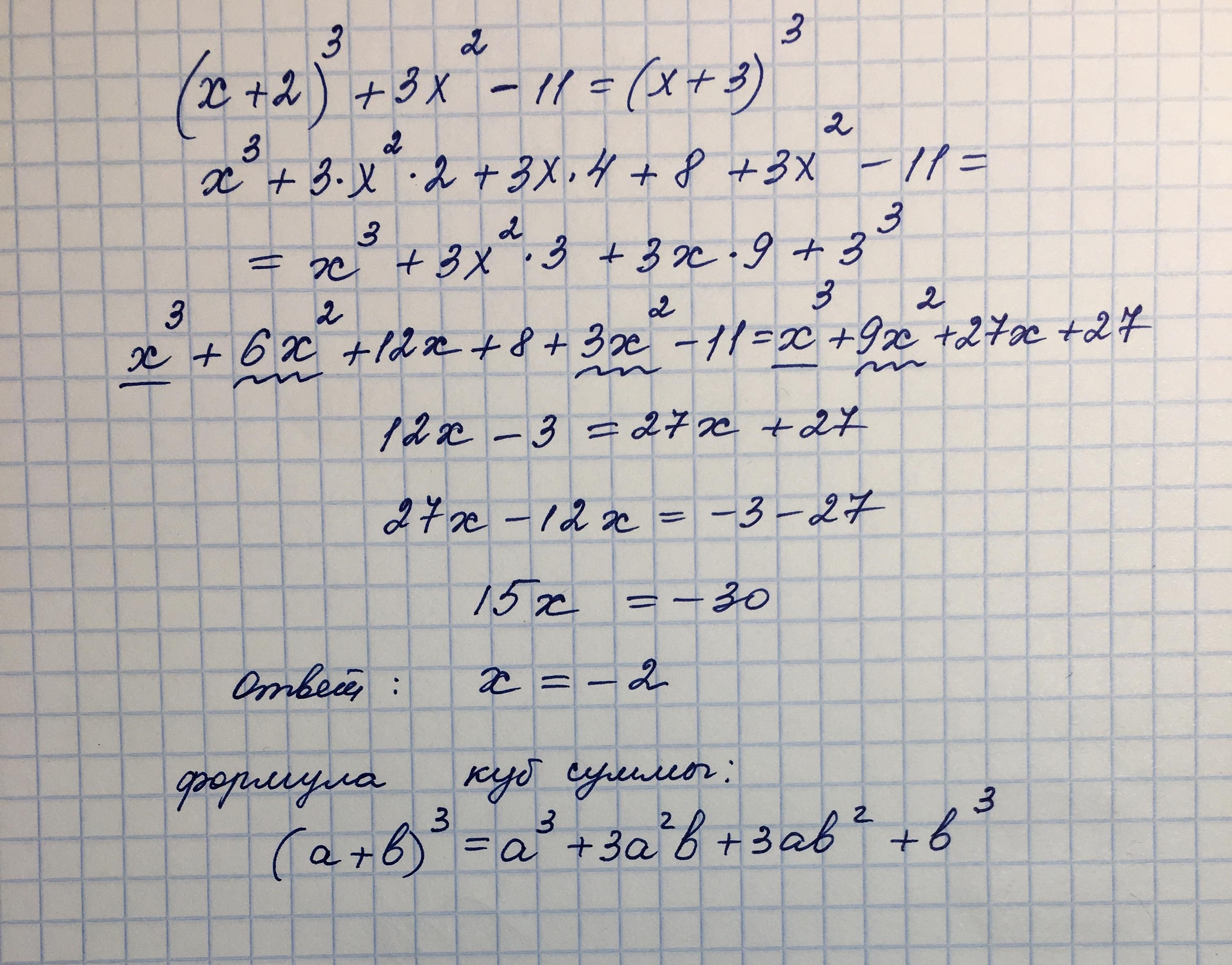
(x +  {2})^{3}  +  {3}x^{2}  - 11 = (x +  {3})^{3}
Пожалуйста помогите! ​

Ответы

Ответ дал: ВладимирБ
1

Ответ:

Объяснение:

.............................

Приложения:
Вас заинтересует