• Предмет: Алгебра
  • Автор: Sirte
  • Вопрос задан 2 года назад

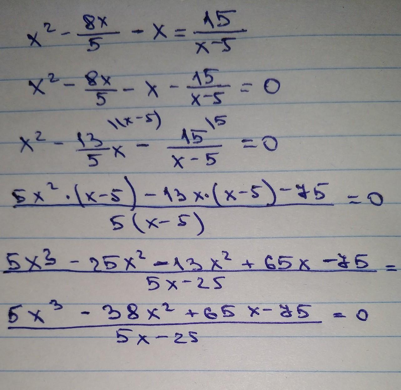
Решите уравнение :
x²-8x/5-x=15/x-5​

Ответы

Ответ дал: zltsdasha25
0

Дальше не знаю как

попробуйте сами

Приложения:
Вас заинтересует