• Предмет: Математика
  • Автор: dimarealag
  • Вопрос задан 2 года назад

КОМПЛЕКСНЫЕ ЧИСЛА

Помогите, пожалуйста.

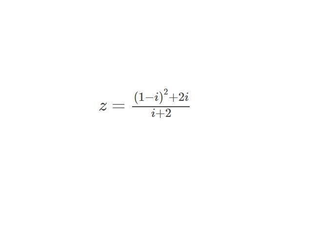
Нужно найти алгебраическую и тригонометрическую форму данного комлексного числа

Приложения:

Ответы

Ответ дал: IrkaShevko
0

Ответ:

Пошаговое объяснение:

z = \dfrac{1 + i^2-2i+2i}{i+2} = 0

т.к. i² = -1

0 будет и в алгебраической и в тригонометрической 0

Вас заинтересует