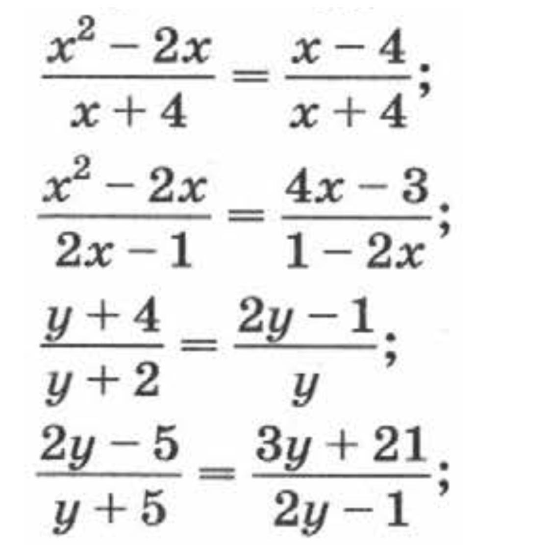
Ответы
Ответ дал:
0
Вроде бы так
Но ответ какой-то не ровный
Что-то лучше чем ничего))))
Но ответ какой-то не ровный
Что-то лучше чем ничего))))
Приложения:

Вас заинтересует
1 год назад
1 год назад
1 год назад
8 лет назад