• Предмет: Алгебра
  • Автор: vvkripak06
  • Вопрос задан 2 года назад

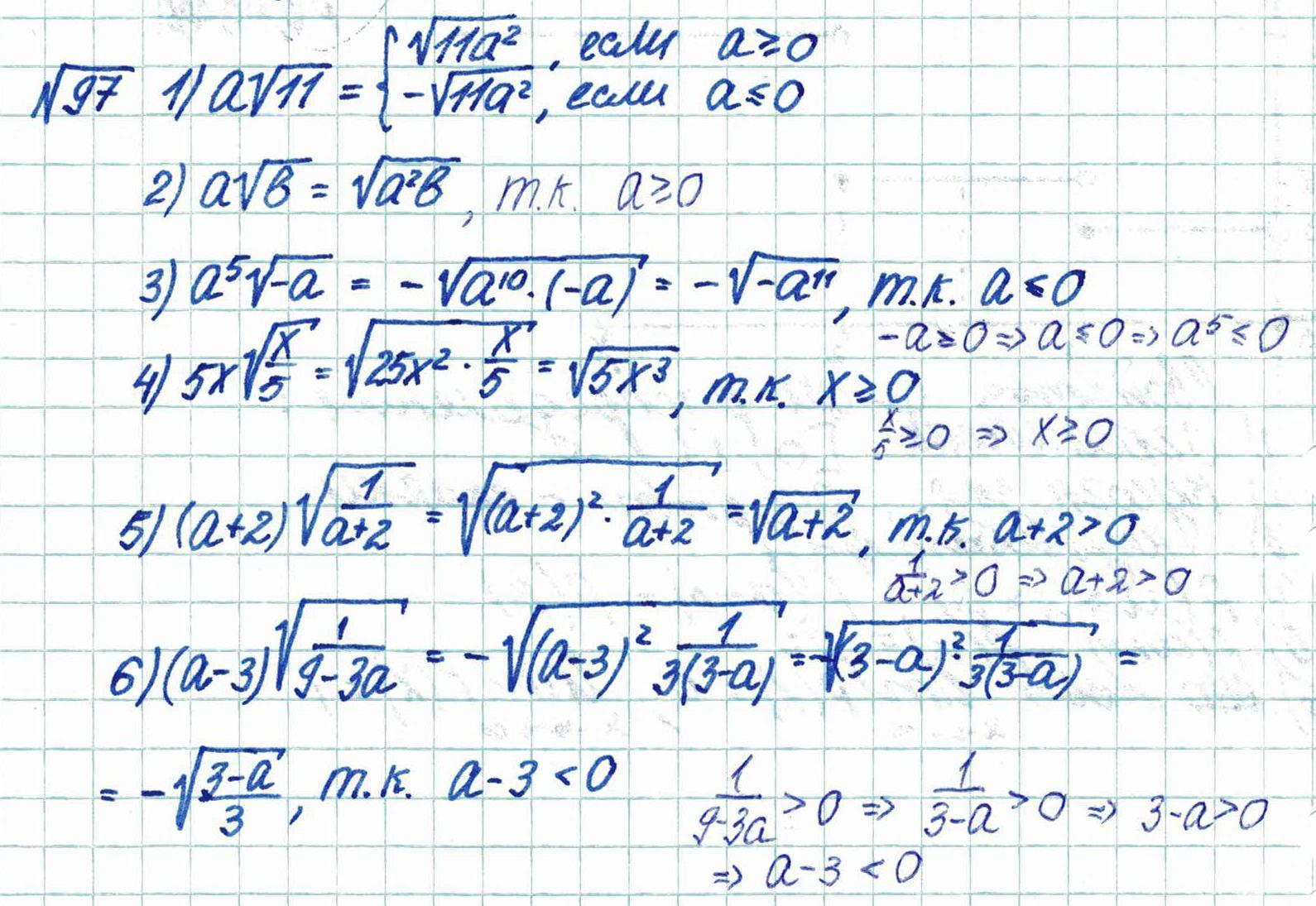
94-97 решите пожалуйста

Приложения:

Ответы

Ответ дал: Хуqожнuк
1

Решение во вложении.

Приложения:
Вас заинтересует