• Предмет: Математика
  • Автор: bogdankoro2041
  • Вопрос задан 2 года назад

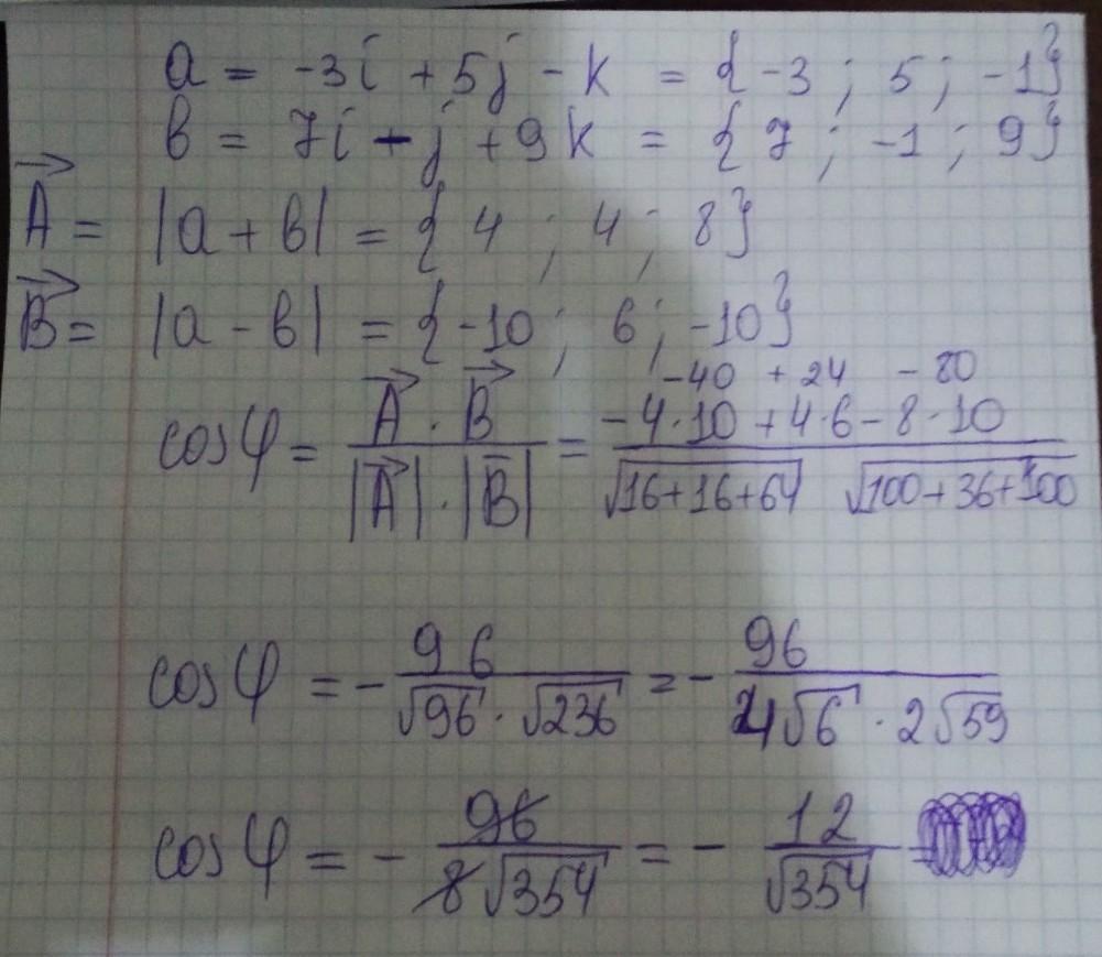
Найти угол между векторами | a+b | и | a-b |
a= -3i+5j-k
b= 7i-j+9k

Ответы

Ответ дал: akramovakamila06
1

Решение указано на фото

Приложения:

akramovakamila06: угол фи=arccos(-12/(√354))=2.2624
Вас заинтересует