• Предмет: Математика
  • Автор: Аноним
  • Вопрос задан 11 лет назад

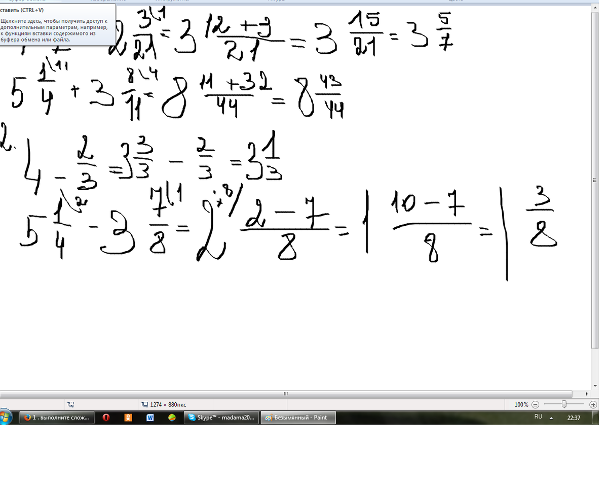
1 . выполните сложение : а) 1 47 + 2 321   б) 5 14 +3 811  .                                                                    2.   выполните вычитание : а) 4- 23 ; б)  5 14-3 78 .                                                                              3. в первый день засеяли 4 23 га пшеницы , во второй день - на 34 га больше . сколько пшеницы засеяли за два дня ?

Ответы

Ответ дал: Дашуля2000Милая
0
3. Первый день: 4 2/3 га
Второй на 3/4 больше то есть ( 4 2/3+ 3/4)
Приложения:
Вас заинтересует