• Предмет: Математика
  • Автор: zanna2007
  • Вопрос задан 2 года назад

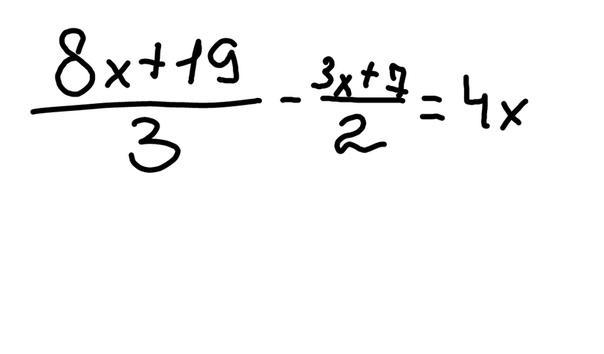
Решите уравнение:
Помогут плзз

Приложения:

Ответы

Ответ дал: tatsach
1

Ответ:

Пошаговое объяснение:

2(8х+19)-3(3х+7)=6*4х

16х+38-9х-21=24х

16х-9х-24х=21-38

-17х=-17

х=-17:(-17)

х=1


tatsach: списывайте свое условие а потом мое решение
Ответ дал: sebrithien
1

Ответ:

1

Пошаговое объяснение:

 \frac{8x + 19}{3}  -  \frac{3x + 7}{2}  = 4x \\ 2(8x + 19) - 3(3x + 7) = 24x \\ 16x + 38 - 9x - 21 = 24x \\ 16x   - 9x - 24x = 21 - 38\\  - 17x =  - 17 \\ x =  \frac{-17}{-17} \\ x = 1

Вас заинтересует