• Предмет: Геометрия
  • Автор: yahylio
  • Вопрос задан 11 лет назад

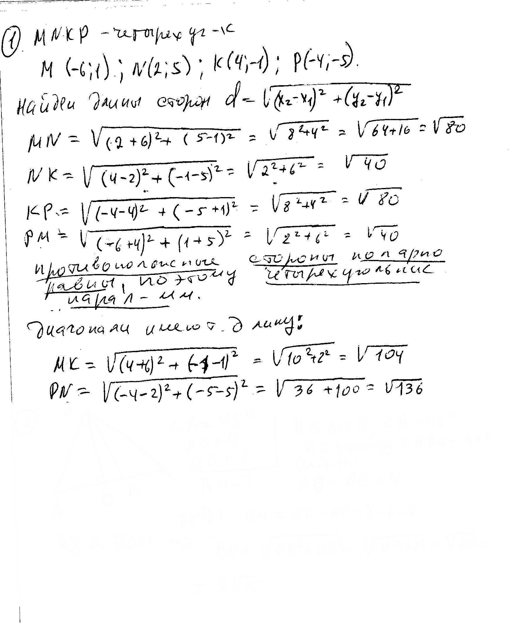
Четырёхугольник MNKP задан координатами своих вершин М(-6,1), N(2,4), К(4,-1), Р(-4,-5). Докажите, что MNKP- параллелограмм. Найдите его диагонали.

Ответы

Ответ дал: ужнеужели
0
Четырёхугольник MNKP задан координатами своих вершин М(-6,1), N(2,4), К(4,-1), Р(-4,-5). Докажите, что MNKP- параллелограмм. Найдите его диагонали.
Приложения:
Вас заинтересует