Ответы
Ответ дал:
0
Ответ:
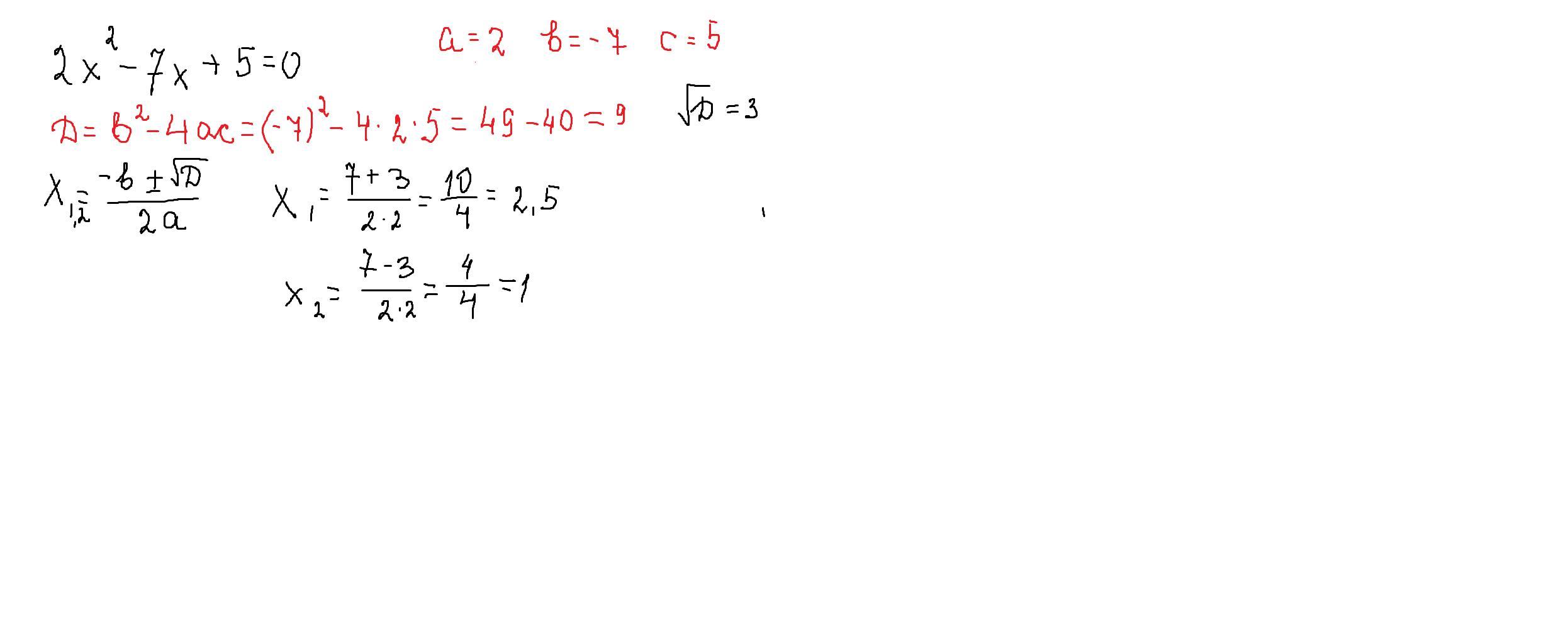
1 и 2,5
Объяснение:D=7^2-4*2*5=9
X1=(7+sqrt9)/4=2,5
X2=(7-sqrt9)/4=1
Ответ дал:
1
Ответ:
Объяснение:
решение внизу
Приложения:

Вас заинтересует
1 год назад
1 год назад
3 года назад
8 лет назад
8 лет назад