Ответы
Ответ дал:
1
Ответ:
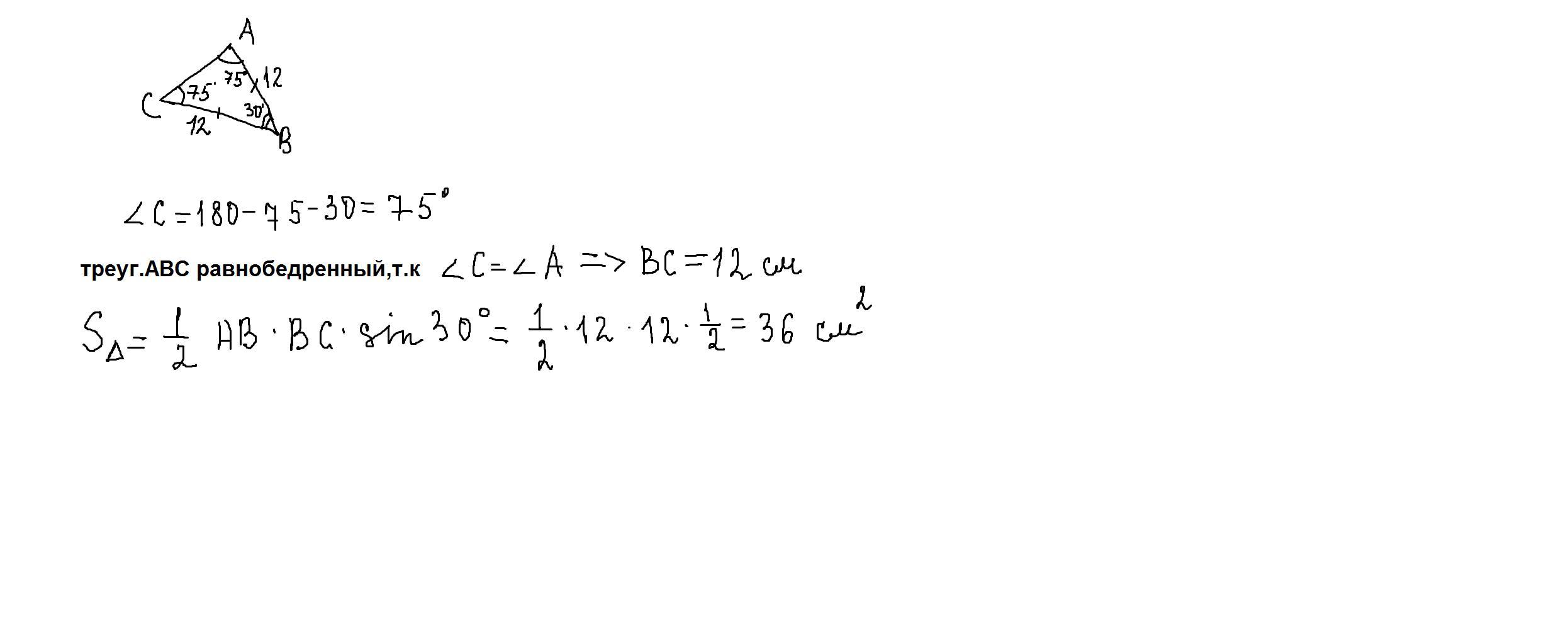
площадь равна 36 кв.см
Пошаговое объяснение:
решение смотри внизу
Приложения:

Вас заинтересует
1 год назад
1 год назад
1 год назад
3 года назад