50 БАЛЛОВ. Алгебра, 10 класс!!!
Вычислите значения выражений.
Не пишите чушь в ответах и без спама, пожалуйста.
Приложения:

Аноним:
да
ARMEN844.Извени если многово прошу.
Ответы
Ответ дал:
6
Ответ:
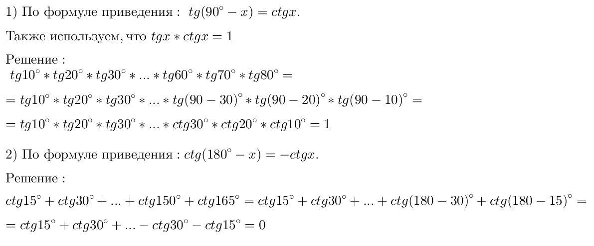
1) 1
2) 0
Объяснение:
Приложения:

Вас заинтересует
1 год назад
1 год назад
1 год назад
1 год назад
3 года назад
8 лет назад