• Предмет: Алгебра
  • Автор: ririala
  • Вопрос задан 2 года назад

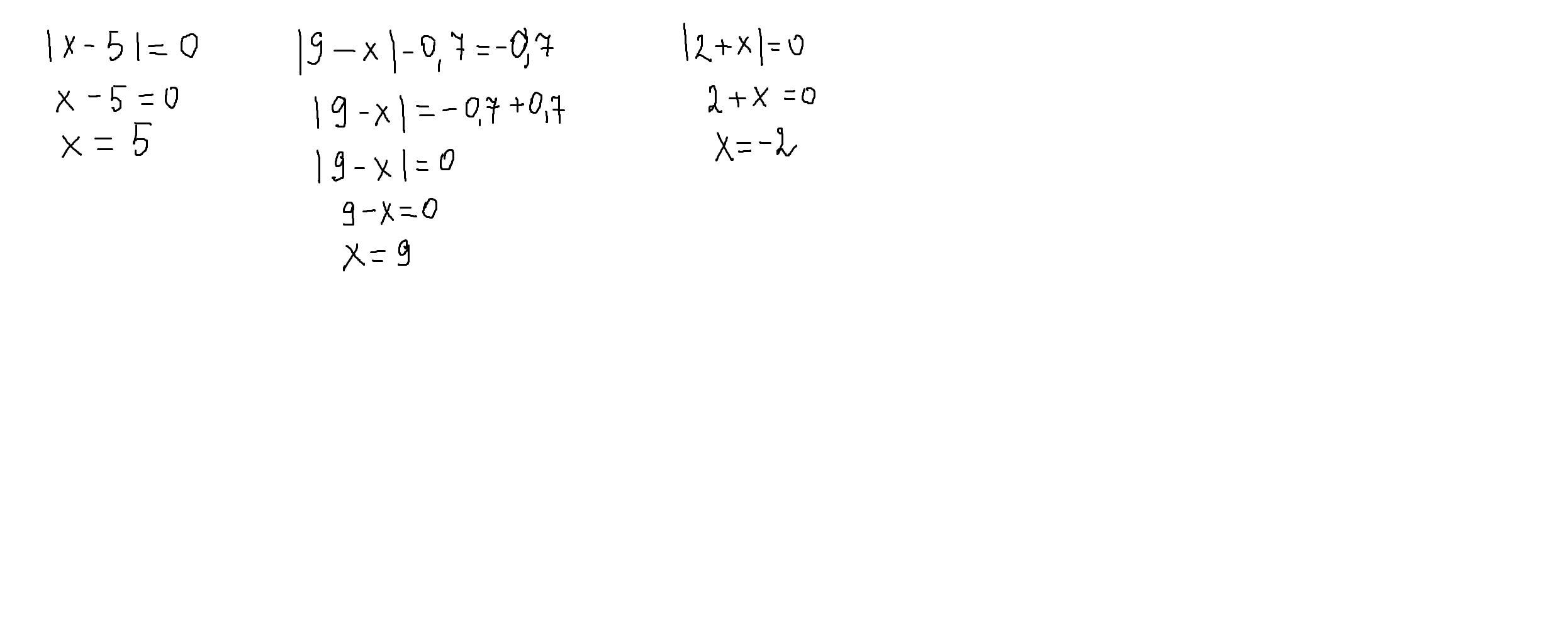
|x - 5|= 0;

|9+x|-0,7=-0,7;

|2+x|=0.

Нужна помощь!!!

Ответы

Ответ дал: parus77
2

Ответ:

Объяснение:

решение внизу

Приложения:
Вас заинтересует