• Предмет: Алгебра
  • Автор: aidana55522
  • Вопрос задан 2 года назад

помогите пожалуйста, желательно чтоб вы написали на листке и прикрепили фото решенич​

Приложения:

L0sK: Нужно графическим способом?

Ответы

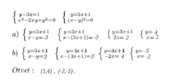
Ответ дал: Vopoxov
1

Ответ:

(-2; -5); (1; 4)

Или

х1 = -2; у1 = -5

х2 = 1; у2 = 4

Объяснение:

Решение - см. приложенный файл

Приложения:
Ответ дал: NNNLLL54
0

.......................................................................

Приложения:
Вас заинтересует