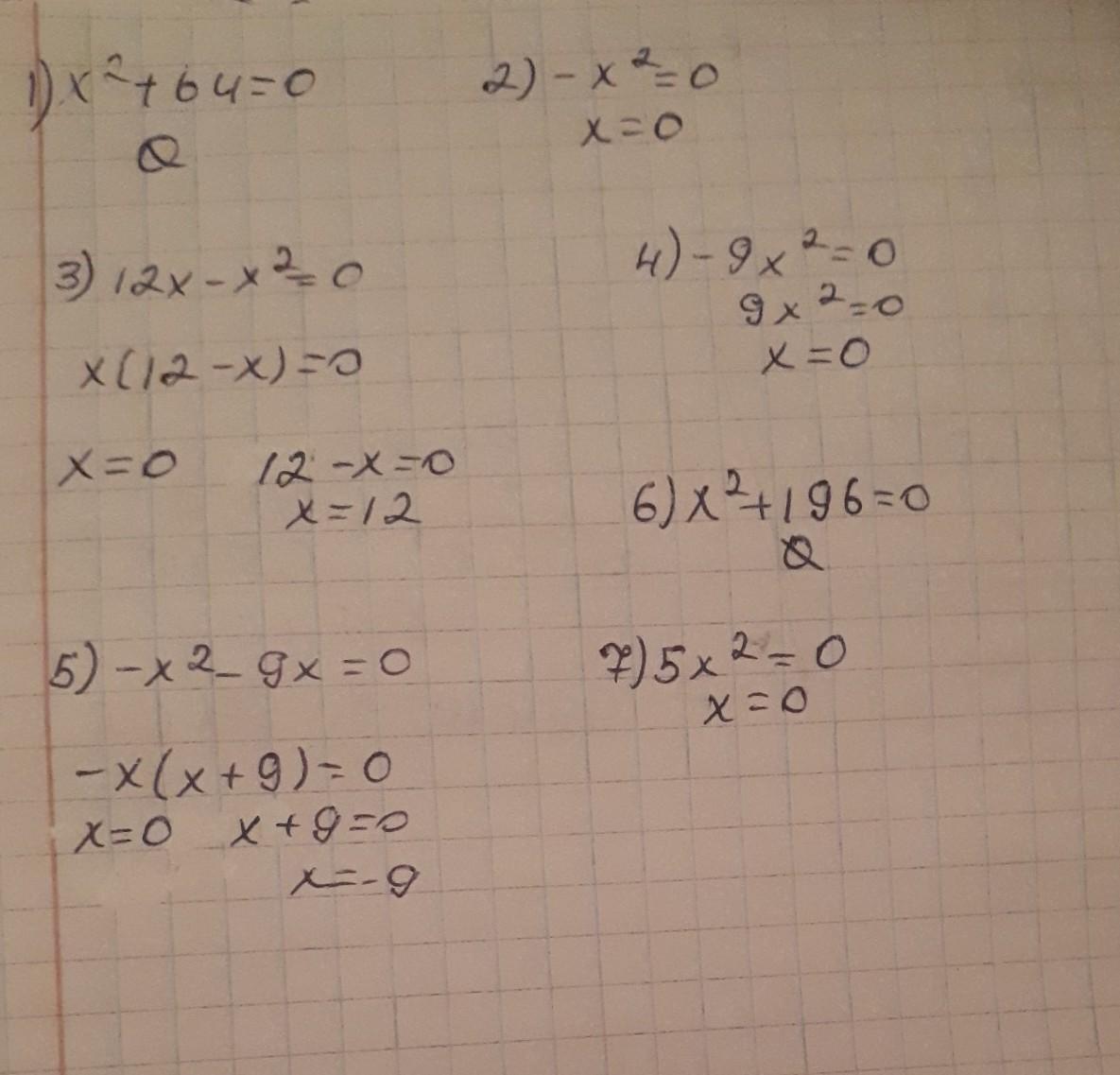
решите уравнения x^2+64=0, -x^2=0, 12x-x^2=0, -9x^2=0, -x^2-9x=0, x^2+196=0, 5x^2=0, x^2+9x=0, x^2+4=0, -6x^2=0 СРОЧНО!!!
Ответы
Ответ дал:
2
по-моему правильно!!
Приложения:

Kuzne43:
а в 5 точно ответ x= -9?
Вас заинтересует
1 год назад
1 год назад
1 год назад
3 года назад
3 года назад
8 лет назад