Ответы
Ответ дал:
1
Ответ:
16000000
Объяснение:
12000225 + 2015 * 1985
120002265 + 3999775
Ответ: 16000000
Ответ дал:
1
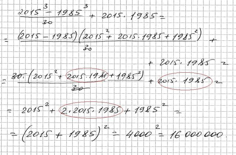
Ответ:
16000000
Объяснение:
Приложения:

Вас заинтересует
1 год назад
1 год назад
1 год назад
3 года назад
3 года назад
8 лет назад