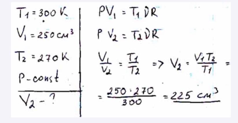
Газ при 300K занимает объём 250 см^3. Какой объем займет этот же газ при температуре -3C? Процесс изобарический.
Ответы
Ответ дал:
0
ну вот смотри;) надеюсь понятно написал;)
Приложения:
Вас заинтересует
2 года назад
2 года назад
2 года назад
2 года назад
3 года назад
3 года назад
9 лет назад