• Предмет: Математика
  • Автор: ademi1732
  • Вопрос задан 2 года назад

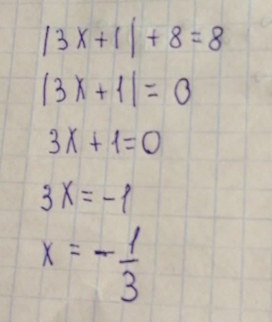
5) |3x + 1| + 8 = 8;
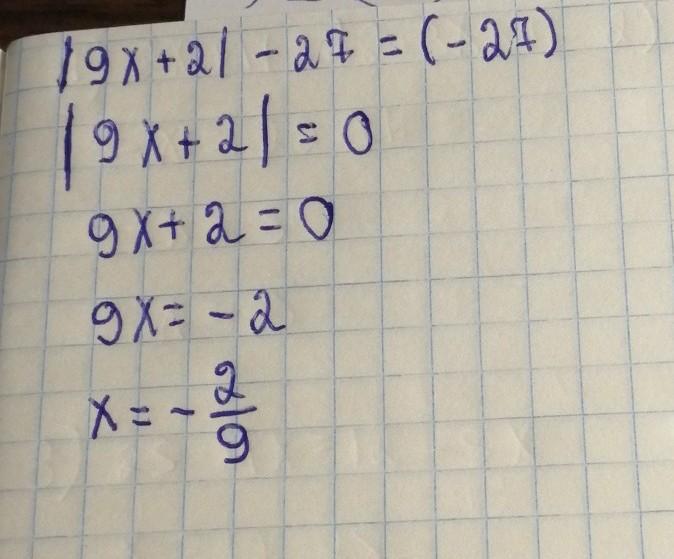
6) |9x + 2| - 27 = (-27).​

Ответы

Ответ дал: Аноним
1

.......................

Приложения:
Вас заинтересует