помогите с тригонометрией. Плохо понимаю ее:( спасите, пожалуйста!
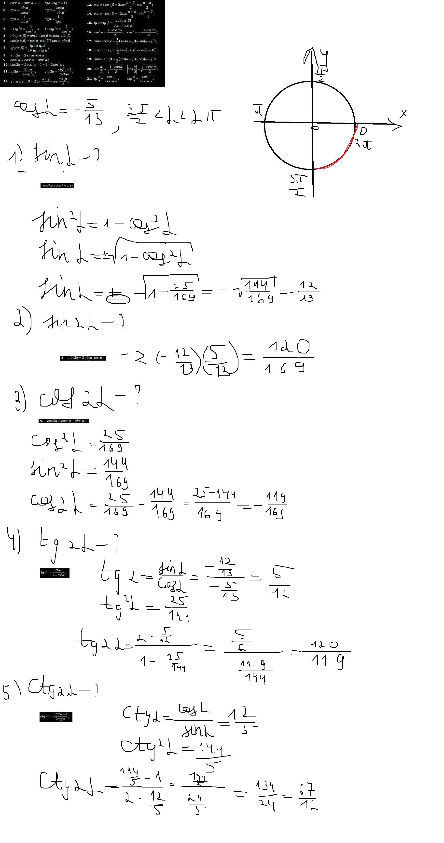
известно cos = 

найти:
1) sin a
2) sin 2a
3) cos 2a
4) tg 2a
5) ctg 2a
в картинке формулы, если нужны
Приложения:
Ответы
Ответ дал:
1
Ответ:
Пошаговое объяснение:
вот и все
Приложения:
mrcotek:
выручил, спасибо!!!
Вас заинтересует
2 года назад
2 года назад
2 года назад
2 года назад
3 года назад
3 года назад
9 лет назад
9 лет назад