• Предмет: Алгебра
  • Автор: Аноним
  • Вопрос задан 2 года назад

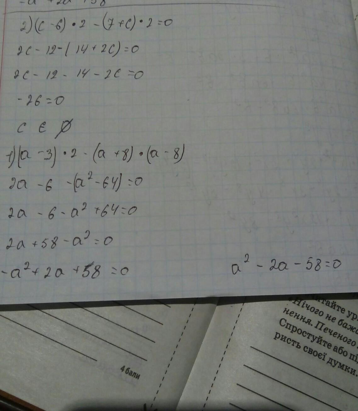
-2.16. 1) (a - 3)2 – (a +8)(a -8)= 0;
3) (c - 6)2 – (7 + c)2 = 0;
2) (9-b)
4) (d - 10​

Ответы

Ответ дал: olgapirniak
6

Объяснение:

Я сделала только 2,потому что ты не правельно написала уравнение.

Приложения:
Вас заинтересует