Ответы
Ответ дал:
0
Ответ:
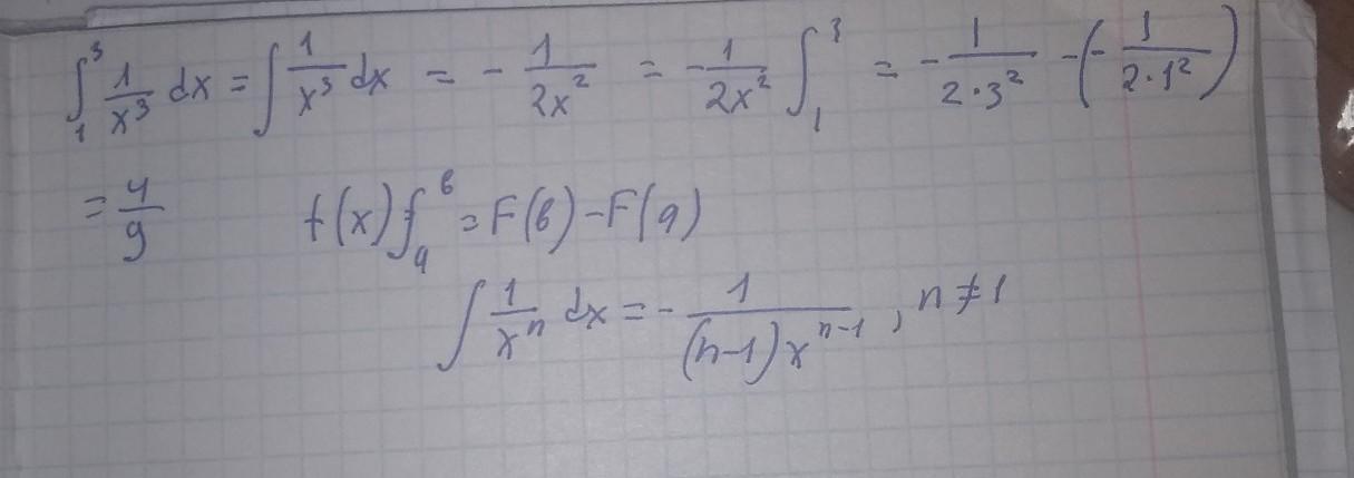
чтобы найти определённый интеграл нужно вычислить неопред интеграл
Приложения:

nn8255241:
Здравствуйте! Не могли бы вы и мне помочь, пожалуйста? Вот вопрос... https://znanija.com/task/34137418 Уже очень долго бьюсь.
Вас заинтересует
1 год назад
1 год назад
1 год назад
3 года назад
8 лет назад