• Предмет: Математика
  • Автор: diko088
  • Вопрос задан 2 года назад

Помогите а то матемотичка убьёт

Приложения:

Ответы

Ответ дал: Unknown0812
3

Ответ:

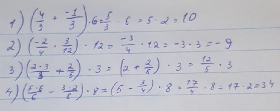
вот и ответ получай

ответ ☝️☝️☝️

Приложения:

Unknown0812: сейчас скачу
diko088: а на свой номер не можешь зарегестрироваться???
Unknown0812: уже зарегистрировал
Unknown0812: меня в друзья добавь
Unknown0812: чё нибудь скажи
diko088: помоги по матем
diko088: .пжпжпж
Unknown0812: Настя в funtome зайди
Unknown0812: прив
Unknown0812: алоооо
Вас заинтересует