• Предмет: Алгебра
  • Автор: nameno8139
  • Вопрос задан 2 года назад

(6b-9) (9b+6) - 9b (6b+3) при b= 5,3​

Ответы

Ответ дал: angel10k
0

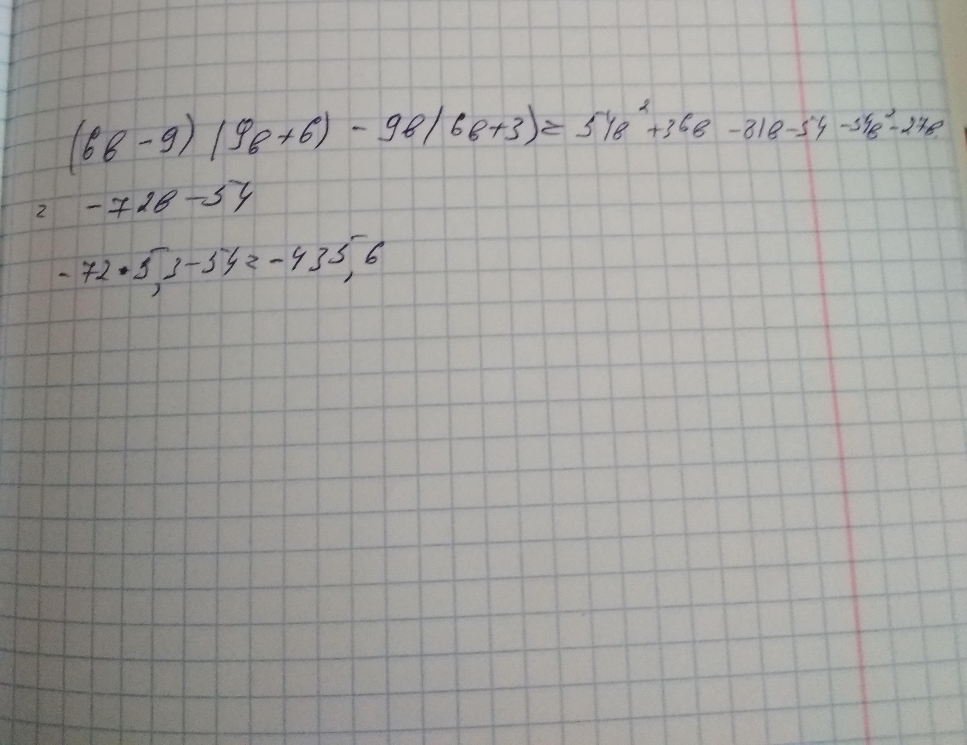
Ответ: Вроде бы так

Объяснение:

Приложения:
Ответ дал: ElbortGames
0

Ответ:

-435,6

Объяснение:

(6 (5,3) - 9) (9 (5,3) + 6) - 9 × 5,3 (6 (5,3) + 3)

1224,36 - 1659,96

Ответ: -435,6

Вас заинтересует